Bajtocka Fabryka Oprogramowania (BFO) zatrudnia
pracowników.
W hierarchii pracowników każdy ma swojego bezpośredniego przełożonego, z wyjątkiem dyrektora BFO,
któremu (pośrednio lub bezpośrednio) podlegają wszyscy pracownicy BFO.
Pracownicy mają ustalone miesięczne pensje, przy czym każdy pracownik zarabia inną kwotę,
od 1 do
bajtalarów.
Każdy przełożony zarabia więcej niż każdy z jego podwładnych.
Zgodnie z bajtockim prawem, pensje pracowników na pewnych stanowiskach mogą być publicznie znane. Ponadto, jeśli pensja pewnego pracownika jest publicznie znana, to pensja jego przełożonego także jest znana.
Bajtocki Urząd Podatkowo-Antykorupcyjny (BUPA) postanowił prześwietlić BFO. Zanim BUPA wkroczy z kontrolą do BFO, chce najpierw poznać wysokość pensji wszystkich pracowników BFO, których pensje nie są publicznie znane, ale których wysokość wynika jednoznacznie z publicznie znanych wysokości pensji innych pracowników BFO.
W pierwszym wierszu standardowego wejścia podana jest jedna liczba całkowita
(
) oznaczająca liczbę pracowników BFO.
Pracownicy są ponumerowani od 1 do
.
Kolejne
wierszy zawiera informacje o pracownikach.
Wiersz o numerze
opisuje pracownika numer
za pomocą
dwóch liczb całkowitych
i
(
,
) oddzielonych pojedynczym odstępem.
Liczba
to numer bezpośredniego przełożonego pracownika nr
.
Jeżeli
, to
jest numerem dyrektora BFO.
Jeśli
, to jest to wysokość pensji pracownika nr
.
Jeśli zaś
, to wysokość pensji pracownika nr
nie jest znana.
Dodatnie liczby
są parami różne.
Dane wejściowe będą tak skonstruowane, że będzie istniał co najmniej jeden sposób przypisania płac pracownikom zgodny z ich hierarchią.
W testach wartych łącznie 54% punktów zachodzi dodatkowy warunek
.
Twój program powinien wypisać na standardowe wyjście
wierszy, z których każdy powinien zawierać
jedną liczbę całkowitą.
Jeżeli pensja pracownika numer
jest jawna lub może zostać wywnioskowana
na podstawie znanych publicznie pensji innych pracowników, to
-ty wiersz wyjścia powinien
zawierać pensję pracownika numer
.
W przeciwnym przypadku
-ty wiersz wyjścia powinien zawierać 0.
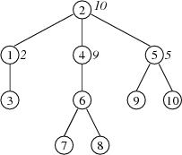
Dla danych wejściowych:
10 2 2 2 10 1 0 2 9 2 5 4 0 6 0 6 0 5 0 5 0

poprawną odpowiedzią jest:
2 10 1 9 5 8 0 0 0 0
Wyjaśnienie do przykładu: Na rysunku liczby w kółkach to numery pracowników, a liczby zapisane kursywą to publicznie znane pensje pracowników. Pracownik nr 3 musi zarabiać 1 bajtalar, a pracownik nr 6 musi zarabiać 8 bajtalarów. Zarobki pracowników nr 7, 8, 9 i 10 nie wynikają jednoznacznie z publicznie znanych zarobków innych pracowników.
Autor zadania: Adam Karczmarz.
In the event of technical difficulties with Szkopuł, please contact us via email at [email protected].
If you would like to talk about tasks, solutions or technical problems, please visit our Discord servers. They are moderated by the community, but members of the support team are also active there.