Dany jest układ złożony z
bramek.
Bramki są ponumerowane od
do
.
Każda bramka posiada pewną liczbę wejść i jedno wyjście.
Wejścia i wyjścia mogą przyjmować stany
,
lub
.
Każde wejście jest połączone z dokładnie jednym wyjściem
pewnej bramki.
Stan wejścia jest równy stanowi wyjścia, z którym jest ono połączone.
Każde wyjście może być połączone z dowolną liczbą wejść.
Bramki o numerach
i
są specjalne - nie posiadają wejść i zawsze
przyjmują określone stany na wyjściu:
dla bramki o numerze
,
dla bramki o numerze
.
Mówimy, że stan wyjścia bramki (krótko: stan bramki) jest poprawny, jeżeli:
i bramka ma więcej wejść w stanie
niż w
stanie
.
i bramka ma tyle samo wejść w stanie
co w stanie
.
i bramka ma więcej wejść w stanie
niż
w stanie
.
lub
,
i jej stan jest równy odpowiednio
lub
.
Napisz program, który:
Pierwszy wiersz standardowego wejścia zawiera liczbę bramek
,
.
Kolejne
wierszy zawiera opisy połączeń bramek.
Wiersz nr
opisuje połączenia łączące wyjścia bramek z wejściami
bramki nr
.
W wierszu tym znajduje się liczba
wejść bramki nr
,
po której następuje
numerów bramek,
.
Są to numery bramek, których wyjścia są połączone z kolejnymi
wejściami bramki nr
.
Liczby w wierszach są pooddzielane pojedynczymi odstępami.
Łączna liczba wszystkich wejść bramek nie przekracza
.
Twój program powinien wypisać na standardowe wyjście
wierszy.
W zależności od stanu bramki numer
,
-ty wiersz powinien
zawierać:
,
,
,
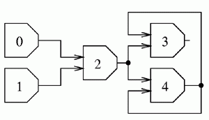
Dla danych wejściowych:
5 2 0 1 2 4 2 2 2 4
poprawną odpowiedzią jest:
0 1 1/2 ? ?

Autor zadania: Bartosz Walczak.
In the event of technical difficulties with Szkopuł, please contact us via email at [email protected].
If you would like to talk about tasks, solutions or technical problems, please visit our Discord servers. They are moderated by the community, but members of the support team are also active there.