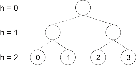
Mamy dane drzewko binarne o wysokości
(jak na rysunku):
Każda krawędź może być zamknięta bądź otwarta.
Początkowo otwarte są wszystkie lewe krawędzie (zaznaczone linią przerywaną).
Adrianek zrzuca po kolei
piłeczek, poczynając od wierzchołka startowego,
który jest korzeniem drzewa.
Każda piłeczka zawsze leci przez otwartą krawędź, a następnie zmienia ją na
zamkniętą oraz otwiera sąsiednią krawędź (gdy otwarta jest lewa krawędź, to
zamykamy lewą i otwieramy prawą, a gdy otwarta jest prawa,
to zamykamy prawą i otwieramy lewą).
Adrianek zastanawia się, do którego wierzchołka (ponumerowanego od
do
)
spadnie
-ta piłeczka.
Pierwszy wiersz standardowego wejścia zawiera dwie liczby całkowite
(
), oznaczające odpowiednio
liczbę piłeczek zrzucanych przez Adrianka oraz wysokość drzewka binarnego.
Pierwszy i jedyny wiersz standardowego wyjścia powinien zawierać jedną liczbę całkowitą,
równą numerze wierzchołka, do którego spadnie
-ta piłeczka.
Dla danych wejściowych:
4 2
poprawną odpowiedzią jest:
3
Wyjaśnienie do przykładu: Piłeczki będą spadały kolejno do wierzchołków o numerach: 0, 2, 1, 3.
Autor zadania: Joanna Bujnowska.
In the event of technical difficulties with Szkopuł, please contact us via email at [email protected].
If you would like to talk about tasks, solutions or technical problems, please visit our Discord servers. They are moderated by the community, but members of the support team are also active there.