Bajtonowiec to drzewo, na którym rosną bajtony. Są to rzadkie owoce i można je znaleźć tylko na takich gałęziach, z których nie wyrastają żadne inne gałęzie.
Wszystkie bajtony rosnące na danej gałęzi mają wyznaczony przedział czasu, w którym mogą zostać zebrane. Jeśli zostaną zebrane zbyt wcześnie, będą niedojrzałe, a jeśli za późno - będą zgniłe. Każdy właściciel bajtonowca zastanawia się, ile minimalnie cięć musi wykonać, aby zebrać wszystkie bajtony oraz aby każdy zebrany bajton nadawał się do zjedzenia w chwili zebrania. Cięcia można wykonywać na każdej gałęzi, u jej początku. W momencie ścięcia zebrane zostają wszystkie bajtony rosnące bezpośrednio lub pośrednio na ścinanej gałęzi. Zakładamy, że w jednostce czasu można wykonać dowolną liczbę cięć oraz że pień również jest gałęzią.
Pierwszy i jedyny wiersz standardowego wejścia zawiera opis bajtonowca,
podany w postaci rekurencyjnej.
Pierwsza liczba oznacza liczbę gałęzi wychodzących z pnia, następnie
znajdują się opisy tych gałęzi.
Opis gałęzi składa się z liczby wychodzących z niej gałęzi, a następnie
opisu tych gałęzi.
Jeśli na gałęzi rosną bajtony, to liczba wychodzących gałęzi jest równa
zeru, a następnie podane są dwie liczby całkowite
,
(
),
oznaczające przedział czasu, w którym można zebrać dane bajtony.
Liczba wszystkich gałęzi nie przekracza
.
Pierwszy i jedyny wiersz standardowego wyjścia powinien zawierać jedną liczbę całkowitą równą minimalnej liczbie cięć, jakie należy wykonać, aby wszystkie bajtony nadawały się do zjedzenia.
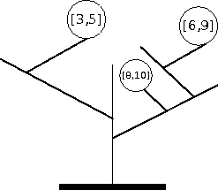
Dla danych wejściowych:
2 1 0 3 5 2 0 8 10 1 0 6 9
poprawną odpowiedzią jest:
2

Wyjaśnienie do przykładu: Przykładowy bajtonowiec ma trzy gałęzie, na których rosną bajtony - przedziały na rysunku to okresy ich zdatności do spożycia. Aby zebrać wszystkie bajtony, wystarczą w tym przypadku dwa cięcia: jedno z nich można wykonać na przykład w chwili 5, a drugie w chwili 8.
Autor zadania: Jacek Tomasiewicz.
In the event of technical difficulties with Szkopuł, please contact us via email at [email protected].
If you would like to talk about tasks, solutions or technical problems, please visit our Discord servers. They are moderated by the community, but members of the support team are also active there.