Bajtazar zbudował nowy pałac.
Pałac ten składa się z
pokoi i
łączących je korytarzy.
Pokoje są ponumerowane od
do
.
Do pałacu jest jedno wejście, prowadzące do pokoju nr
.
Każdy korytarz łączy dwa różne pokoje.
Do każdego pokoju prowadzi od wejścia dokładnie jedna droga (bez zawracania).
Inaczej mówiąc, pokoje i łączące je korytarze tworzą drzewo -
spójny graf acykliczny.
Inspektor straży pożarnej, który odbierał pałac, domaga się umieszczenia w pałacu gaśnic. Określił on następujące wymagania:
różnych pokoi.
korytarzy.
W pierwszym wierszu standardowego wejścia znajdują się trzy liczby całkowite
,
i
pooddzielane pojedynczymi odstępami,
,
,
.
Każdy z następnych
wierszy zawiera po dwie liczby całkowite oddzielone pojedynczym odstępem.
W wierszu
znajdują się liczby
reprezentujące korytarz łączący pokoje nr
i
.
W pierwszym i jedynym wierszu standardowego wyjścia powinna zostać wypisana jedna liczba całkowita - minimalna liczba gaśnic, jakie należy zainstalować w pałacu.
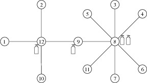
Dla danych wejściowych:
12 3 1 1 12 3 8 7 8 8 9 2 12 10 12 9 12 4 8 5 8 8 11 6 8
poprawną odpowiedzią jest:
4

Autor zadania: Paweł Parys.
In the event of technical difficulties with Szkopuł, please contact us via email at [email protected].
If you would like to talk about tasks, solutions or technical problems, please visit our Discord servers. They are moderated by the community, but members of the support team are also active there.