Mała Zosia urządza przyjęcie urodzinowe.
Sporządziła wstępną listę
swoich znajomych z przedszkola,
których chciałaby zaprosić.
Dzieci są jednak bardzo wymagające.
Maja powiedziała, że przyjdzie, ale tylko jeśli na przyjęciu
nie będzie Kamilki i Emilki, które w zeszłym tygodniu zabrały jej lalkę.
Mały Krzyś bawi się tylko z Zosią oraz Kamilką, i nie chce widzieć
na przyjęciu innych dzieci.
I tak dalej
Zosia mówi, że przyjęcie jest udane, jeżeli żaden spośród gości
nie ma nic przeciwko obecności pozostałych gości.
Zosia postanowiła, że nie zaprosi niektórych dzieci, aby przyjęcie
było udane.
Z drugiej strony, Zosia chciałaby zaprosić jak najwięcej dzieci.
Uznała, że jeśli nie będzie mogła zaprosić przynajmniej
dzieci,
to w ogóle nie urządzi przyjęcia.
Pomóż małej Zosi! Napisz program, który:
wszystkich
znajomych Zosi, liczbę
oraz opis wymagań dzieci,
dzieci
tak, aby przyjęcie było udane,
Pierwszy wiersz standardowego wejścia zawiera
dwie liczby całkowite nieujemne, oddzielone pojedynczym odstępem:
- liczbę wszystkich znajomych Zosi (
),
- minimalną liczbę dzieci, które Zosia chce zaprosić na
przyjęcie (
).
Dzieci są ponumerowane liczbami od
do
.
Kolejne wiersze zawierają opis wymagań dzieci.
W drugim wierszu znajduje się jedna liczba całkowita
,
.
Każdy z kolejnych
wierszy zawiera parę liczb całkowitych
, oddzielonych pojedynczym odstępem
(
,
).
Możesz założyć, że każda para (uporządkowana)
pojawia się na wejściu co najwyżej raz.
Para
oznacza, że dziecko o numerze
nie chce spotkać
na przyjęciu dziecka o numerze
.
Jeżeli nie jest możliwe zaproszenie na przyjęcie
dzieci, tak
aby było ono udane, to pierwszy i jedyny
wiersz standardowego wyjścia powinien zawierać tylko jedno
słowo: NIE.
Jeżeli jest to możliwe, to pierwszy wiersz standardowego wyjścia powinien zawierać jedną liczbę całkowitą - maksymalną liczbę dzieci, które można zaprosić na przyjęcie, tak aby było ono udane. Drugi wiersz standardowego wyjścia powinien wówczas zawierać numery dzieci, które należy zaprosić, podane w rosnącej kolejności i pooddzielane pojedynczymi odstępami. Jeżeli istnieje wiele poprawnych wyników, Twój program powinien wypisać dowolny z nich.
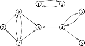
Dla danych wejściowych:
9 4 12 9 6 4 6 7 9 1 2 2 1 9 7 7 6 4 5 7 8 8 9 3 4 4 3

poprawną odpowiedzią jest:
5 1 3 5 6 8
Autor zadania: Łukasz Kowalik.
In the event of technical difficulties with Szkopuł, please contact us via email at [email protected].
If you would like to talk about tasks, solutions or technical problems, please visit our Discord servers. They are moderated by the community, but members of the support team are also active there.