Niniejsze zadanie to trudniejsza wersja zadania Rotacje na drzewie z II etapu XVIII OI. Nie wystąpiła ona w samym konkursie.
Ogrodnik Bajtazar zajął się hodowlą rzadkiego drzewa o nazwie Rotatus Informatikus. Ma ono bardzo ciekawe własności:
.
Liczby w liściach nie powtarzają się.
Bajtazar pochodzi ze starego miasta Bajtogrodu i jak wszyscy jego mieszkańcy bardzo lubi porządek.
Zastanawia się, jak za pomocą rotacji jak najlepiej uporządkować swoje drzewo.
Uporządkowanie drzewa mierzymy liczbą inwersji zawartych w jego koronie,
tj. dla korony
wyznaczamy liczbę takich par
,
, dla których
.

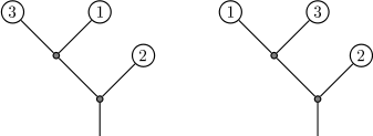
Rys. 1. Oryginalne drzewo (po lewej) o koronie
zawiera dwie inwersje.
Po rotacji otrzymujemy drzewo (po prawej) o koronie
, które zawiera tylko jedną inwersję.
Każde z tych drzew ma 5 gałęzi.
Napisz program, który wyznaczy minimalną liczbę inwersji zawartych w koronie drzewa, które można otrzymać za pomocą rotacji wyjściowego drzewa Bajtazara.
W pierwszym wierszu standardowego wejścia znajduje się jedna liczba całkowita
(
), oznaczająca liczbę liści drzewa Bajtazara.
W kolejnych wierszach znajduje się opis drzewa.
Drzewo definiujemy rekurencyjnie:
(
),
to opis drzewa składa się z jednego wiersza zawierającego jedną liczbę całkowitą -
,
,
.
W jedynym wierszu standardowego wyjścia należy wypisać jedną liczbę całkowitą: minimalną liczbę inwersji w koronie drzewa, które można otrzymać za pomocą jakiegoś ciągu rotacji wyjściowego drzewa.
Dla danych wejściowych:
3 0 0 3 1 2
poprawną odpowiedzią jest:
1
Wyjaśnienie do przykładu: Rysunek 1 ilustruje drzewo z przykładu.
Autorzy zadania: Tomasz Kociumaka, Tomasz Waleń.
In the event of technical difficulties with Szkopuł, please contact us via email at [email protected].
If you would like to talk about tasks, solutions or technical problems, please visit our Discord servers. They are moderated by the community, but members of the support team are also active there.