W pewnej szybko rozwijającej się firmie co pewien czas zatrudniani
są nowi pracownicy.
Każdy pracownik
w momencie zatrudnienia dostaje bezpośredniego przełożonego,
którego przełożeni (bezpośredni i pośredni) stają się wówczas pośrednimi
przełożonymi
.
Mówimy, że bezpośredni przełożony
jest przełożonym
stopnia 0,
przełożony przełożonego o stopniu 0 ma stopień równy 1, ogólnie: przełożony
przełożonego o stopniu
ma stopień
.
W ten sposób pracownik jest podwładnym swojego bezpośredniego przełożonego
oraz wszystkich dalej określonych przełożonych.
Tak powstaje hierarchia pracowników, na szczycie której stoi sam założyciel
firmy.
Od momentu powstania firmy prowadzona jest historia zatrudnień pracowników.
Niektórzy pracownicy co pewien czas zastanawiają się (ciekawe dlaczego?),
dla ilu swoich podwładnych są oni przełożonymi stopnia
.
Czy zechciałbyś napisać program, który zautomatyzuje ich dywagacje, żeby
zamiast nich mogli zająć się pracą?
Pierwszy wiersz standardowego wejścia zawiera jedną liczbę całkowitą
(
), oznaczającą liczbę zdarzeń występujących
w historii firmy.
Kolejne
wierszy opisuje zdarzenia w porządku chronologicznym.
Zdarzenie oznaczające zatrudnienie pracownika w firmie opisujemy
w postaci znaku 'Z' oraz dwóch liczb całkowitych
i
(
,
dla
),
które oznaczają odpowiednio numer nowego pracownika oraz numer pracownika
będącego jego bezpośrednim przełożonym.
jest równe numerowi pewnego pracownika, który aktualnie pracuje w firmie.
Założyciel firmy ma numer
.
Zdarzenie będące pytaniem pracownika
o liczbę jego podwładnych, dla których
jest on przełożonym stopnia
, opisujemy w postaci znaku 'P'
oraz dwóch liczb całkowitych
i
(
,
).
Przed pierwszym zdarzeniem jedynym pracownikiem firmy jest założyciel.
Dla każdego pytania pracownika w osobnym wierszu standardowego wyjścia
należy wypisać liczbę jego podwładnych, dla których jest on przełożonym
stopnia
.
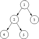
Dla danych wejściowych:
8 Z 2 1 P 1 0 Z 3 1 Z 4 2 P 1 1 P 1 0 Z 5 2 P 2 0

poprawną odpowiedzią jest:
1 1 2 2
Autor zadania: Jacek Tomasiewicz.
In the event of technical difficulties with Szkopuł, please contact us via email at [email protected].
If you would like to talk about tasks, solutions or technical problems, please visit our Discord servers. They are moderated by the community, but members of the support team are also active there.