Firma Bajtel rozpoczyna produkcję elektronicznych układów szeregowo-równoległych. Każdy taki układ składa się z części elektronicznych, połączeń między nimi oraz dwóch połączeń doprowadzających prąd. Układ szeregowo-równoległy może składać się z:



Napisz program, który:
Ze standardowego wejścia należy wczytać opis układu szeregowo-równoległego. Opis ten ma postać rekurencyjną:
(
)
oddzielone pojedynczym odstępem, to opisywany układ składa się
z
mniejszych układów połączonych szeregowo,
opisanych w kolejnych wierszach,
(
)
oddzielone pojedynczym odstępem, to opisywany układ składa się
z
mniejszych układów połączonych równolegle (za pomocą
dwóch części rozgałęziających), opisanych w kolejnych wierszach,
, a głębokość rekurencji w opisie nie
przekracza
.
Twój program powinien pisać na standardowe wyjście. W pierwszym wierszu powinna zostać wypisana jedna liczba całkowita, równa minimalnej liczbie połączeń, jakie muszą znaleźć się na górnej stronie płytki.
Dla danych wejściowych:
R 3 S 2 X R 2 S 2 X X S 2 X X S 3 X X X R 2 X X
poprawną odpowiedzią jest:
8

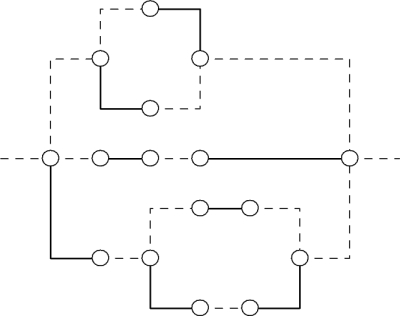
Schemat układu szeregowo-równoległego dla danych z przykładu.
Ciągłą linią zaznaczono połączenia znajdujące się na
górnej stronie płytki.
Autor zadania: Marcin Kubica.
In the event of technical difficulties with Szkopuł, please contact us via email at [email protected].
If you would like to talk about tasks, solutions or technical problems, please visit our Discord servers. They are moderated by the community, but members of the support team are also active there.